科研与社会服务

生态学研究团队在湿地植物入侵生态学领域取得新进展

    2023-11-30 19:08:01 来源:betway西汉姆联官方网站          浏览数:0

  芦苇(Phragmites australis (Cav.) Trin. ex Steud)是一种全球广布的湿地挺水植物,其中一种单倍型M入侵北美大陆,在与乡土单倍型E的竞争中占据优势。前人在对其入侵机制的阐释中,普遍认为单倍型M具有“快性状”,即较大的比叶面积,较高的叶氮含量与光合速率,较低的根建成消耗等,这反应其具有快速生长的特性。而前人研究皆在北美与欧洲大陆进行,实验中用于比较的地理类群有限。而单倍型M在东亚地区尤其是中国西北部有大量分布,前人研究忽视了东亚芦苇类群,所构建的比较体系存在不足。那么,对芦苇入侵机制的阐释缺乏全局性。

  近日,生态学课题组依托世界芦苇同质种植园,于植物不同生活史阶段,系统比较了北美入侵类群(单倍型M)、北美乡土类群(单倍型E)、欧洲类群(单倍型M)与中国西北类群(单倍型M)的功能性状与根际微生物群落结构与功能,研究成果以The introduced lineage of Phragmites australis in North America differs from its co-existing native lineage in associated soil microbial structure rather than plant traits为题发表在国际期刊Plant and Soil(中科院农林科学2区TOP,IF:4.9)上。

  

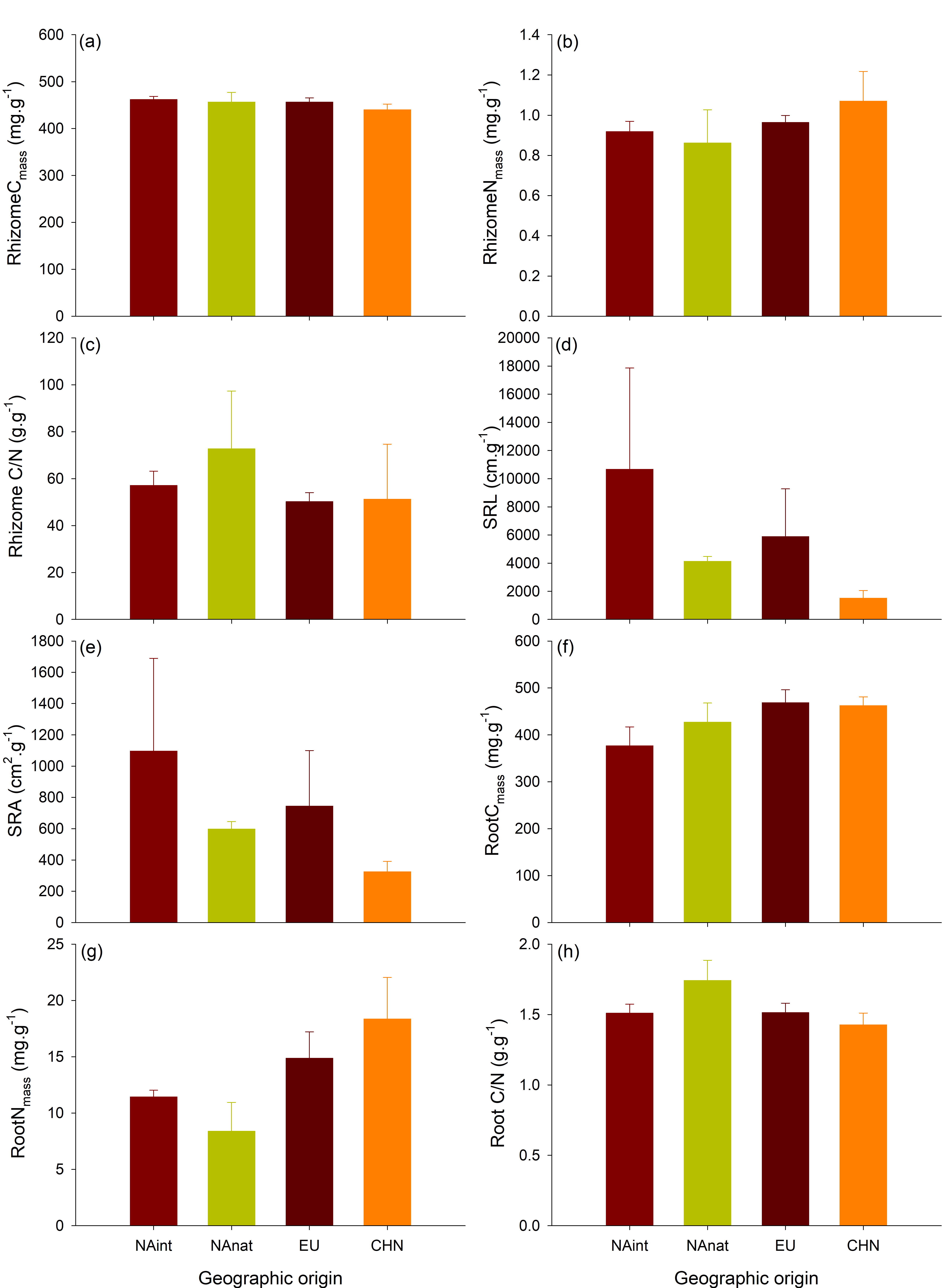
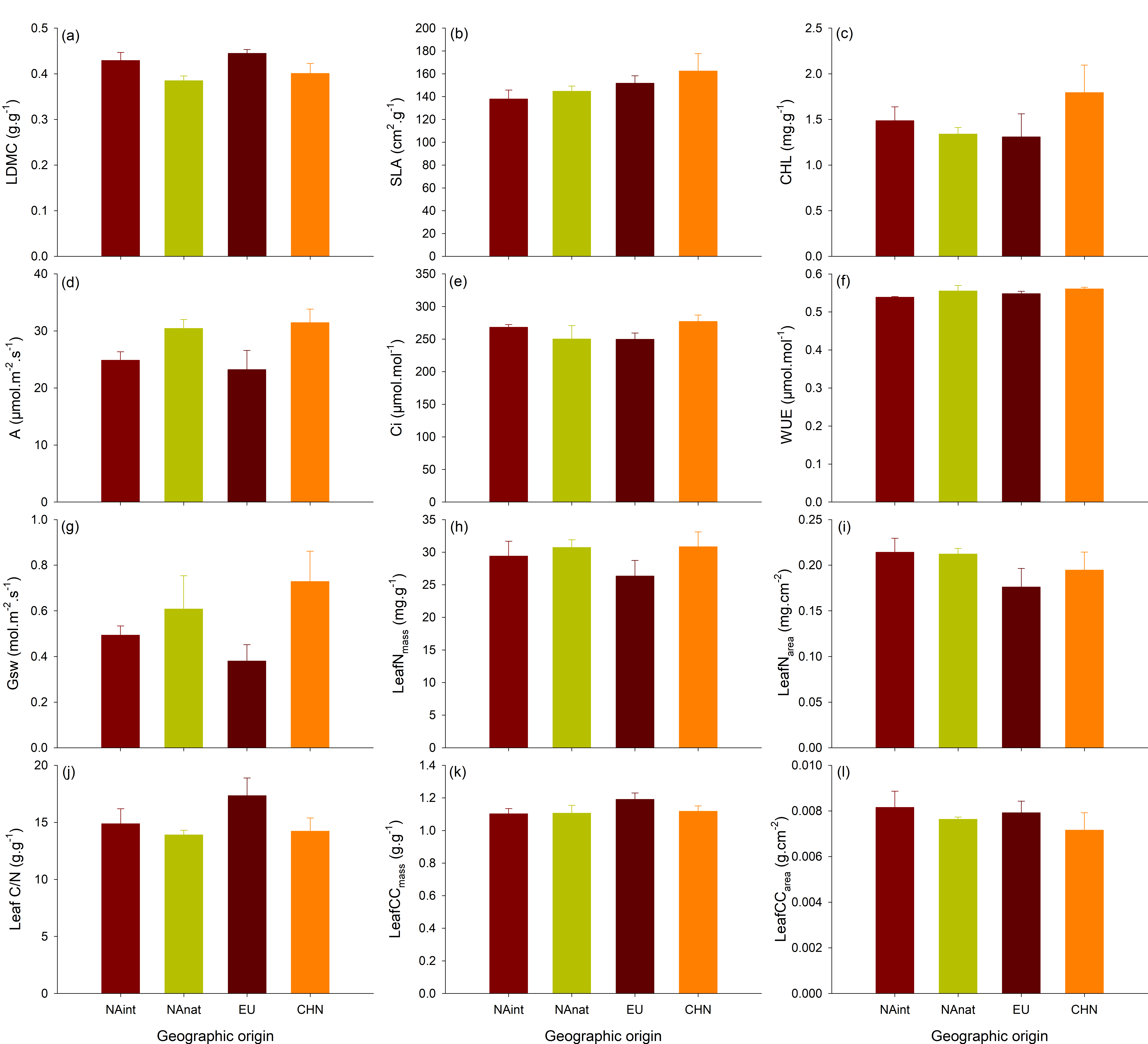
  研究发现,无论是生长期抑或衰亡期,不同芦苇地理类群在叶与地下部分功能性状皆无显著差异,这一发现挑战了前人对于单倍型M具有“快性状”的判定。

  

  图 1 不同芦苇地理类群叶功能性状比较

  

  图2 不同芦苇地理类群地下部分功能性状比较

  而不同芦苇地理类群的差异存在于根际微生物中,研究发现不同芦苇地理类群的根际微生物群落结构与功能存在分异,这可能影响植物表现。

  

  betway西汉姆联官方网站为该成果的第一完成单位,王彤副教授为该论文第一及通讯作者。betway西汉姆联官方网站副教授郭霄与杨金明,中科院水生生物研究所助理研究员吴志刚与山东大学教授王仁卿参与了该项研究。研究得到了国家自然科学基金、校级人才引进项目和betway西汉姆联官方网站老员工创新创业项目的资助。